MCLP를 이용한 국공립 어린이집 최적입지 선정 모델
작성자 : 김예진,김소륜,오소민,오현정
작성일자 : 2023/11/26~
1차 세미나 전까지 공유PM 현황 분석 및 자전거도로, 수소차 충전소 , 국공립 어린이집 등과 같은 다양한 주제가 나왔다. 기사를 보면 창원시가 교통량이 많은 것에 비해 주차공간 부족 및 대중교통 이용률 감소 문제를 겪고 있었다. 그래서 2차 활동 전까지는 공유PM 주 이용자의 연령과 업종을 분석하여 신규 자전거 도로 제안을 목표로 준비하였다. 그러나, 겹치는 경우도 발생했고 얻을 수 있는 데이터도 한정적이었다. 그러던 중 창원시의 국공립 어린이집 전환 사업을 접하게 되었고 국공립 어린이집 최적 입지 선정 모델을 중심으로 프로젝트를 시작하게 되었다.
분석목적
우리나라의 다양한 이슈 가운데 중요한 문제 중 하나가 바로 저출산 문제이다. 합계 출산율이 0.8 아래로 떨어지며 OECD 회원국 중 유일하게 출산율이 1명대 아래를 기록했다. 특히 젊은층이 많지 않은 수도권 이외 지역은 출산율 문제가 심각하다. 이제 아이를 1명 낳을 때마다 시에서 돈을 주는 정책 등이 시행될 정도이다. 창원도 이러한 문제에 직면해있다고 생각했다. 또한 창원이 인구 100만을 달성하며 얻었던 '창원특례시'라는 지역명도 출산율이 줄어 인구가 감소한다면 곧 다시 그냥 '창원시'가 되어버릴 것이다. 따라서 우리는 국공립 어린이집 확충을 위해 최적의 입지분석을 통해 이 문제를 조금이나마 해결할 수 있다고 생각했다.
올해 4월, 창원시가 민간 어린이집을 국공립 어린이집으로 전환한다는 기사를 봤다. 창원시 사업취지는 핵심 돌봄 기반시설의 역할을 강화하고 안심보육 환경을 조성하기 위해서라고 한다. 우리는 "핵심 돌봄 기반시설의 역할 강화"와 "안심보육 환경 조성", 이 2가지 키워드에 집중하였다. 먼저, 핵심 돌봄 기반시설의 역할 강화는 바로 현재 시점에서 국가가 지원해야할 부분이다. 자녀가 있는 부부 절반 이상이 저출산 현상의 원인으로 '경제부담'을 지목했다는 조사 결과가 있다. 경제적 부담이 큰 부모들에게 비교적 학비가 싼 국공립 어린이집의 전환은 희소식이다. 또한, 육아와 직장생활을 균형있게 유지하려는 부모들에게 더 큰 선택의 폭을 제공하며 '안심'하고 아이들을 어린이집에 보낼 수 있다.

창원시 국공립 어린이집 전환 사업 추진 관련 기사 및 저출산 문제에 관한 통계자료
분석 배경 및 필요성
창원특례시 2022년 지역통계에 따르면, 창원시의 청년들이 생각하는 저출산 해결방안으로 「가정과 직장생활의 효율적 병행을 위한 양육시설 확충」이 29.9%로 가장 높이 나타났다. 이뿐만 아니라 정부에서 발표한 ‘제4차 저출산·고령사회 기본계획(제4차 기본계획)’ 보육 분야에서도 국공립어린이집을 늘리는 방안이 포함되어있다. 위와 같은 자료를 통해 국공립 어린이집 확대가 창원시에 도움이 되는 정책이라는 생각이 들었다. 국공립 어린이집의 확대는 일자리를 창출하고 어린이집 산업을 지원해 창원시의 저출산과 고령화 사회에 대응하기 위한 중요한 수단이 될 수 있다. 어린이 돌봄 서비스는 부모들의 양육부담을 덜어주어 일을 할 수 있어 창원시와 아이를 둔 부모 모두 경제적 이점을 갖는다. 이를 근거로 창원시의 유아동인구수와 보육시설의 현황을 분석하고 국공립 어린이집의 최적입지를 선정하는 프로젝트를 수행했다.
분석 데이터 및 분석 툴
분석 툴로는 Python과 R을 이용했다. 또한, 창원시 빅데이터 포털, 공공데이터 포털, 창원시 아동 통계, 창원시 지역 통계 등 정확하고 신뢰성이 있는 사이트에서 자료들을 가져왔다.
알고리즘 및 방법론
여러 알고리즘을 실행해본 결과 MCLP를 사용하기로 하였다. 우리가 사용하는 데이터가 위치 데이터이므로 이 방법을 택하였다. MCLP(Maximum Covering Location Problem)는 위치 기반의 최적화 문제 중 하나로, 특정한 목표를 달성하기 위해 위치를 선택하는 기능을 수행한다. MCLP의 목표는 주어진 위치 후보 세트와 대상 지역이 주어졌을 때, 최대한 많은 대상을 커버하는 위치를 선택하는 것이다.
그리고 가중치를 부여할 때에는 최대- 최소 정규화 방법을 사용하였다. 최대-최소 정규화 방법은 데이터를 일정 범위로 변환하여 데이터 스케일을 맞추는데 사용되는 데이터 전처리 기법이다. 데이터의 분포를 변형하지 않아 데이터의 상대적인 관계를 유지하며 다양한 데이터를 비교하고 분석하기 쉽도록 데이터의 범위를 조정할 수 있다.
스토리보드
최적 입지모델을 돌리기 전, 창원시의 주요 현황을 파악해야한다. 그래서 우리는 인구, 거주지, 보육시설, 안전 및 의료와 같이 총 4가지 카테고리로 나눠 데이터를 시각화하여 살펴보기로 했다.
1. 인구
▨ 유아동인구수의 추이 분석
창원시의 2018년 부터 2022년 만 0세~ 만 5세의 인구수를 시각화 하였다. 분석 결과 해마다 유아동 인구가 하락세를 보인다. 전 년도와 다음 년도(+1) 차이는 차례대로 각각 3599명, 3834명, 3957명 , 4047명으로, 하락 폭이 점점 커지고 있다. 또한, 2018년도 대비 2022년 유아동 인구수가 약 0.69배까지 떨어졌다. (※ 2022년 유아동 인구수/ 2018년 유아동 인구수 =0.69873146) .2023년도 이후는 아동수가 더 큰 폭으로 감소할것으로 예상된다.

▨ 구별 유아동 인구수 분석
창원시는 의창구, 마산회원구, 성산구, 진해구, 마산함포구로 총 5개의 구가 있다. 분석결과, 2021년 기준 성산구, 진해구, 의창구, 마산회원구, 마산함포구 순으로 유아동 인구수가 많다.

▨ 읍면동별 유아동 인구수 분석
또한, 읍면동 별 유아동 인구수도 분석해보았다. 그래프를 보면 알 수 있듯이 의창구 북면의 유아동 인구수가 다른 읍면동 유아동인구수보다 상대적으로 많음을 알 수 있다. 유아동인구의 수요가 많은 곳에 어린이집을 세우는 것이 합당하다고 판단을 했다. 최종적으로 유아동 인구수를 분석 함으로써 저출산 시대의 틀에 맞춘 어린이집 확충 사업의 필요성을 정당화 할수 있었다.

▨ 출생아수
유아동인구수를 분석한 후 출생아수도 분석하였다. 과거와 현재가치(2018년~2022년 유아동인구수)를 분석하는 것도 중요하지만, 미래가치(2023년 태어난 신생아들의 수)도 분석할 필요가 있어서이다. 즉, 출생아가 성장하여 유아동에 포함되어 어린이집에 등원 할 가능성이 높기 때문에 위 조건도 고려해줘야한다는 말이다. 연도별 출생아수를 보면 이 역시 감소를 보이며 유아동인구수와 마찬가지로 성산구, 의창구, 진해구 순으로 많다.

▨ 혼인수
기혼 가구에서 유아동이 존재할 확률이 미혼가구보다 높기때문에 아래 데이터도 시각화하였다. 출생아수와 마찬가지로 저출산 시대인 만큼 감소를 보이고 있다. 혼인부부수도 놀랍게도 성산구, 의창구, 진해구 순으로 많았다.

2. 거주지
보통 주거 형태는 공동주택(아파트, 연립주택 등) 과 단독주택(단독다가구주택)으로 이루어져있다.
단독주택 부동산 거래 현황 3개년 비교시 2020년,2021년도에 비해 거래량이 대폭 감소했으며 연령별 매수 거래량은 5060대에서 높은 비율을 보이고 있다.
반면 공동주택 부동산 거래 현황 3개년 비교시 비록 2021년엔 하락을 보였지만 2020년에 비해 2022년은 거래량이 증가했다. 또한, 결혼 연령층이 높아지고 있는 지금 시점 어린이집에 등원시킬 자녀가 있을 확률이높은 30대 층에서 2번째로 매수자 비율이 높게 나타났다.
▨ 공동주택, 단독주택 부동산 거래량 및 연령별 매수 현황
따라서 거래량이 비교적 많고 우리가 기획하는 프로젝트에 걸맞는 연령대인 공동주택 현황만 고려하기로 하였다. 거래량이 점차 감소하기 시작한 단독주택은 앞으로 수요가 감소할 가능성이 높기에 고려하지 않기로 하였다.

▨ 공동주택의 위치
공동주택 위치를 지도에 시각화한 결과 파란색 포인트가 골고루 겹쳐서 분포함을 알수 있었다. 결론적으로 공동주택에서 어린이집 위치까지의 거리는 크게 관여하지 않음을 증명하였다.

3. 창원시 보육시설
창원시의 보육시설 현황에 대해서 먼저 알아보기 위하여 다음과 같은 시각화 작업을 진행하였다.
▨ 창원시 보육시설 현황
가장 먼저 창원시의 보육시설 현황을 확인해보았다. 2020년부터 2022년까지 창원시 내 국공립 어린이집 수 추이를 확인해본 결과를 다음과 같이 시각화하였다.
그래프를 보면 수가 증가하고 있긴 하나 증가폭이 매우 미세하다. 그래서 우리는 국공립 전환 사업이 떠오른 현 시점, 증가폭이 늘리는 것 이 적절하다고 판단했다.

연도별 창언시 국공립 어린이집 수 추이
▨ 창원시 어린이집 위치
어린이집 수와 더불어 현재 창원시에 존재하는 전체 어린이집 위치를 지도에 시각화해보았다. 그 결과는 다음과 같다.

2023년 기준 창원시 내 어린이집 위치
위 그림을 보면 산지를 제외한 평지 부분에 상당히 골고루 분포 되어있음을 확인할 수 있다.
▨ 국공립 어린이집 위치
이 중에서 국공립 어린이집만 추출하여 지도에 시각화해보았다. 그 결과는 다음과 같다.

2023년 기준 창원시 내 국공립 어린이집 위치
어린이집 전체는 상당히 골고루 분포된 반면, 국공립 어린이집은 주로 성산구와 마산회원구에 밀집 되어있다. 따라서 밀집 구역 외에도 국공립 어린이집을 확충 시키는 것이 필요하다고 판단했다.
▨ 국공립 어린이집 VS 사립/민간 어린이집
창원시 내 국공립 어린이집 수와 사립 전체 어린이집 수를 비교할 수 있도록 다음과 같이 시각화해보았다.

사립과 국공립을 비교한 왼쪽 그래프를 먼저 살펴보자면, 사립 어린이집이 국공립어린이집보다 6배 이상 많다. 여기서 사립 어린이집은 민간어린이집을 포함한다.
다음으로 사립 어린이집 가운데 민간 어린이집 데이터만 추출하여 국공립 어린이집과 비교해보았다. 그 결과인 오른쪽 그래프를 살펴보면, 민간어린이집 또한 국공립 어린이집보다 약 3배 많은 것을 알 수 있다.
▨ 유아동 인구수 대비 국공립 어린이집 정원수
마지막으로 2023년도 유아동 인구수 대비 국공립 어린이집 정원수를 확인해본 결과, 유아동 인 구수가 공립 어린이집 정원수의 약 6배나 많은 것을 볼 수 있다. 유아동 인구수에 비해 턱없이 부족한 상황이다.

4. 안전 및 의료
국공립 어린이집의 확충이 필요하다고 판단한 뒤에 어린이집의 입지 선정을 위해 안전 및 건강 요소를 확인했다. 어린이들은 어디로 튈 지 모르기 때문에 언제 위급한 상황이 발생할 지 모른다. 그래서 어린이들의 안전을 최우선으로 고려하여 의료기관의 위치를 먼저 확인해보았다.
▨ 창원시 의료기관 위치
창원시 내 아동 전문 병원을 포함하여 모든 의료 기관의 위치를 지도에 시각화해본 결과, 상당히 골고루 위치해 있어 의료기관과의 거리 문제는 없을 것이라고 판단했다.

2021 기준 창원시 의료기관
▨ 어린이 보호 구역 위치
다음으로 어린이들의 안전한 등하교를 위하여 창원시 내 어린이 보호 구역 위치도 확인해보았다. 특히 차도가 설치된 곳 주위에 창원시 곳곳 골고루 어린이 보호 구역이 존재하며, 앞서 확인한 어린이집들의 위치와 의료기관과 동일 하거나 가까운 위치에 있음을 알 수 있었다. 어린이 보육시설인 만큼, 안전을 위하여 보호 구역 내 또는 가까이에 입지를 선정하는 것을 중요하게 생각했다.

창원시 어린이 보호 구역 위치
최적입지 선정 과정
1. 변수 설정

2. 데이터 전처리
비산 먼지 시설 위치 데이터는 종료일 기준으로 전처리해주고, 민간 어린이집 위치 데이터는 소재지 도로명 주소를 이용해서 읍면동을 추출한 뒤에 이상값만 제거했다. 민간 어린이집을 국공립 어린이집으로 전환하는 것이 목표이기 때문에 이상값을 제외한 민간 어린이집만 남도록 하여 이후 모델링에 사용하기 위함이다. 이외의 데이터 전처리는 결측치 제거, 이상값 처리 등과 같이 진행했다.
3. MCLP를 위한 수학적 모델링
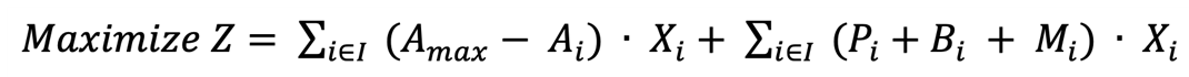
목적함수

제약조건

4. 국공립 어린이집 설치를 위한 제약조건
- 공장 위치에서 멀리 떨어진 곳 : 선택된 최적 입지는 주변 50m 이내에 공장이 없어야 함.
- 비산 먼지 시설 위치에서 멀리 떨어진 곳 : 선택된 최적 입지는 주변 50m 이내에 비산 먼지 시설이 없어야 함.
- 국공립 어린이집이 부족한 곳 : 선택된 최적 입지는 국공립 어린이집이 100m 이내에 1개 이하여야 함
- 어린이 보호 구역 주변 : 선택된 최적 입지는 주변 300m 이내에 어린이 보호 구역이 있어야 함.
5. 분석과정
(1) 거리함수 지정
from math import radians, sin, cos, sqrt, atan2
# Haversine 공식을 사용하여 두 위도 경도 지점 사이의 거리를 계산하는 함수
def calculate_distance(lat1, lon1, lat2, lon2):
# 지구 반지름 (미터)
R = 6371.0
# 위도와 경도를 라디안 단위로 변환
lat1 = radians(lat1)
lon1 = radians(lon1)
lat2 = radians(lat2)
lon2 = radians(lon2)
# Haversine 공식 계산
dlon = lon2 - lon1
dlat = lat2 - lat1
a = sin(dlat/2)**2 + cos(lat1) * cos(lat2) * sin(dlon/2)**2
c = 2 * atan2(sqrt(a), sqrt(1 - a))
distance = R * c
return distance
(2) 어린이집 50m 주변 이내 공장이 있는 경우, 해당 어린이집 행 삭 (144개 -> 142개)
# 어린이집 주변에 공장이 있는 경우 해당 어린이집 제외
to_delete_indexes = []
for i, childcare_center in childcare_center_df.iterrows():
center_lat = childcare_center['위도']
center_lon = childcare_center['경도']
for j, facility in facility_location_df.iterrows():
facility_lat = facility['Latitude']
facility_lon = facility['Longitude']
distance = calculate_distance(center_lat, center_lon, facility_lat, facility_lon)
if distance <= 0.05: # 50m 이내에 공장이 있는 경우
to_delete_indexes.append(i)
break
# 삭제할 행을 데이터프레임에서 제거
childcare_center_df = childcare_center_df.drop(to_delete_indexes)
print(childcare_center_df)
(3)어린이집 50m 주변 이내 비산 먼지 시설이 있는 경우, 해당 어린이집 행 삭제(142개 -> 139개)
# 어린이집 주변에 비산먼지시설이 있는 경우 해당 어린이집 제외
to_delete_indexes = []
for i, childcare_center in childcare_center_df.iterrows():
center_lat = childcare_center['위도']
center_lon = childcare_center['경도']
for j, dust in dust_facilities_df.iterrows():
dust_lat = dust['위도']
dust_lon = dust['경도']
distance = calculate_distance(center_lat, center_lon, dust_lat, dust_lon)
if distance <= 0.05: # 50m 이내에 비산먼지시설이 있는 경우
to_delete_indexes.append(i)
break
# 삭제할 행을 데이터프레임에서 제거
childcare_center_df = childcare_center_df.drop(to_delete_indexes)
print(childcare_center_df)
(4) 민간 어린이집 반경 100m 이내 국공립 어린이집이 1개 이상 있는 경우 그 행 삭 (139개 -> 121개)
# 민간 어린이집 반경 100m 안에 국공립 어린이집이 1개 이상인 경우 삭제
to_delete_indexes = []
for i, private_childcare in childcare_center_df.iterrows():
private_lat = private_childcare['위도']
private_lon = private_childcare['경도']
count_public_within_100m = 0
for j, public_childcare in public_childcare_center_df.iterrows():
public_lat = public_childcare['위도']
public_lon = public_childcare['경도']
distance = calculate_distance(private_lat, private_lon, public_lat, public_lon)
if distance <= 0.1: # 200m 이내에 국공립 어린이집이 있는 경우
count_public_within_100m += 1
if count_public_within_100m >= 1:
to_delete_indexes.append(i)
# 삭제할 행을 데이터프레임에서 제거
childcare_center_df = childcare_center_df.drop(to_delete_indexes)
print(childcare_center_df)
(5) 어린이집 반경 300m 이내 어린이 보호 구역이 없으면 해당 어린이집 행 삭제 (121개 -> 28개)
# 어린이집 주변에 300m 이내에 어린이보호구역이 있으면 남기고, 없으면 삭제
to_keep_indexes = []
for i, childcare_center in childcare_center_df.iterrows():
center_lat = childcare_center['위도']
center_lon = childcare_center['경도']
include = False # 초기에는 삭제 대상으로 설정
for j, school_zone in school_zones_df.iterrows():
area_lat = school_zone['위도']
area_lon = school_zone['경도']
distance = calculate_distance(center_lat, center_lon, area_lat, area_lon)
if distance <= 0.3: # 300m 이내에 어린이보호구역이 있는 경우
include = True # 남길 대상으로 표시
break
if include:
to_keep_indexes.append(i)
# 남길 행만 선택하여 새로운 데이터프레임 생성
filtered_childcare_center_df = childcare_center_df.loc[to_keep_indexes]
# 결과 출력
filtered_childcare_center_df
- 1차로 제약조건에 따라 필터링된 어린이집은 총 28개

(6) 데이터 합치기
: 유아동 인구수는 읍면동을 기준으로 합치고 출생아수, 혼인수, 그리고 평균 소득은 구를 기준으로 합치기
# 읍면동을 기준으로 두 데이터프레임을 합칩니다.
merged_df = pd.merge(filtered_childcare_center_df, child_region_population_df, on='읍면동', how='left')
# 결과를 출력합니다.
merged_df
# 구별 출생 인구수와 가중치 데이터를 조인하여 가중치를 추가합니다.
merged_df_1 = merged_df.merge(birth_df, on='구 이름', how='left')
# 구별 혼인 인구수와 가중치 데이터를 조인하여 가중치를 추가합니다.
merged_df_2 = merged_df_1.merge(marriage_df, on='구 이름', how='left')
# 구별 평균소득과 가중치 데이터를 조인하여 가중치를 추가합니다.
merged_total_df = merged_df_2.merge(low_income_df, on='구 이름', how='left')
(7) 정규화
import pandas as pd
# 정규화 계산 함수 정의
def calculate_weight(dataframe, column_name):
max_value = dataframe[column_name].max()
if max_value == 0:
return 0 # 최대값이 0인 경우 정규화를 0으로 설정
else:
return dataframe[column_name] / max_value
# 결과 출력
merged_total_df['출생_정규화'] = calculate_weight(merged_total_df, '구별출생아수')
merged_total_df["혼인_정규화"] = calculate_weight(merged_total_df, "혼인수")
merged_total_df["유아동인구수_정규화"] = calculate_weight(merged_total_df, "유아동인구수")
# 정규화 계산 함수 정의
def calculate_weight_by_income(dataframe, column_name):
min_value = dataframe[column_name].min() # 최소 소득값
max_value = dataframe[column_name].max() # 최대 소득값
if max_value == min_value:
return 0 # 최대와 최소가 같을 경우 정규화를 0으로 설정
else:
return 1 - ((dataframe[column_name] - min_value) / (max_value - min_value))
merged_total_df["소득_정규화"] = calculate_weight_by_income(merged_total_df, "평균소득금액 (단위 천원)")
merged_total_df
(8) MCLP 알고리즘을 이용하여 최적 입지 선정
import pulp
import pandas as pd
# 최대 전환 가능한 위치 수
max_conversion_locations = 10
# PuLP 문제 생성
model = pulp.LpProblem("Location_Selection", pulp.LpMaximize)
# 이진 변수 정의
x = [pulp.LpVariable(f"x{i}", cat=pulp.LpBinary) for i in range(len(merged_total_df))]
# 목적 함수 정의
model += (
pulp.lpSum(
(max(merged_total_df['소득_정규화']) - merged_total_df['소득_정규화']) * x[i]
+ (merged_total_df['유아동인구수_정규화'] + merged_total_df['출생_정규화'] + merged_total_df['혼인_정규화']) * x[i]
for i in range(len(merged_total_df))
)
)
# 제약 조건: 최대 전환 가능한 위치 수
model += pulp.lpSum(x) <= max_conversion_locations
# 최적화
model.solve()
# 결과 출력
print("최적 위치 선정 결과:")
for i in range(len(merged_total_df)):
if x[i].value() == 1:
print(f"어린이집명: {merged_total_df['어린이집명'][i]}, 평균소득: {merged_total_df['소득_정규화'][i]}, 유아동인구수: {merged_total_df['유아동인구수_정규화'][i]}, 출생아수: {merged_total_df['출생_정규화'][i]}, 혼인수: {merged_total_df['혼인_정규화'][i]}")
# 최적 입지 여부를 나타내는 열 추가
merged_total_df['최적입지유무'] = [int(x[i].value()) for i in range(len(merged_total_df))]
+ 알고리즘 실행 결과

최종 선정된 어린이집

결론 및 시사점
최종 선정된 어린이집을 지도에 시각화 하였습니다.

현재의 창원시 내 국공립을 파란색 마커로, 선정된 어린이집을 빨간색 마커로 표시하여 시각화 한 것입니다.

<북면에 선정된 어린이집>
: 상대적으로 유아동인구수가 많던 북면에 6곳을 추가로 확대하여 더 많은 유아동이 국공립을 이용 할 수 있게 되었습니다.

<풍호동에 선정된 어린이집> <웅천동에 선정된 어린이집>
: 주변에 공동주택이 밀집되어있고 초등학교가 있어, 국공립 어린이집이 들어서기에 좋은 인프라가 갖추어져 있음을 알 수 있습니다.

<명곡동에 선정된 어린이집>

<자산동에 선정된 어린이집>
: 상대적으로 평균소득이 낮은 마산합포구에 새로 1곳을 확대하여 경제적 부담없이 안전한 돌봄 서 비스를 받을 수 있게 되었습니다.

선정된 어린이집을 통해 국공립 어린이집 최적입지를 선정할 때, 고려했던 조건들을 충분히 아우를 수 있는 결과가 나옴을 알 수 있습니다. 또한 최적입지 선정 모델을 구축하여 10곳이 아닌 원하는 수의 어린이집을 선정해낼 수 있기에, 여러방면에 활용될 것을 기대할 수 있습니다.
활용방안 및 기대효과
우선, 앞서 언급한 “제 4차 저출산·고령사회 기본계획 (제4차 기본계획)”으로 인한 국공립 어린 이집 확충 사업의 취지와 들어맞습니다. 최적입지 선정 모델을 통하여 정책을 추진하는데에 속 도를 붙일 수 있을 것이라고 기대합니다. 실제 진행되고 있는 사업인 만큼, 비슷한 사업 사례가 또 등장했을 때 언제든지 관련 데이터 및 모델이 존재한다면, 인적 및 물적 자원 비용의 감소를 기대할 수 있을 것입니다. 추가로, 새로운 어린이집을 짓고 세운다는 것은 지역 현황과 부지 상 태에 따라서 현실적으로 행해지기 어려울 수도 있고, 본 공모전의 데이터 분석 관련 지식 외의 실제 사업 내용에 대해 완전히 알지 못 하는 본 팀이 간과하는 점이 있을 수 있기에 창원시의 민간 어린이집 국공립 전환 사업과 동일한 방식을 채택하여 모델링한 것도 도움이 될 수 있습니 다. 또한, 국공립 어린이집의 높은 수요를 충족시킬 수 있으며, 학부모들이 자녀 어린이집 등원 에 대해 부담을 덜 수 있고, 더 나아가 자녀 교육을 위해 경제활동을 중단했던 학부모들이 경제 활동을 재개할 수 있도록 지역 경제 활발도에 기여합니다. 이 사업으로 인해 어린이집이 더 전 환되거나, 새로 설립될 수 있다면 보육교사의 일자리도 증가할 수 있을 것으로 예상됩니다.
감사합니다. :)
참고문헌 및 활용 데이터
1)분석데이터 측면
1. 구별.연령별_아동인구
경상남도창원시,「창원시아동통계」, 2021, 구별·연령별 아동인구, url : https://kosis.kr/statHtml/statHtml.d o?orgId=791&tblId=DT_791008_2021A004&conn_path=I2
2. 구별 출생아_수
경상남도 창원시,「창원시아동통계」, 2021, 구별 출생아 수, url : https://kosis.kr/statHtml/statHtml.do?orgI d=791&tblId=DT_791008_2021B002&conn_path=I2
3. 인구동태
경상남도 창원시,「창원시아동통계」, 2021, 2023.10.04, 구별·연령별 아동인구
url : https://kosis.kr/statHtml/statHtml.do?orgId=791&tblId=DT_791008_2021A004&conn_path=I2 4.경상남도 창원시_공동주택 현황
창원시 빅데이터 포털, 2020, 경상남도 창원시_공동주택현황, url : https://bigdata.changwon.go.kr/portal/ dataset/datasetView.do?seq=179
5. 공동주택
창원시 빅데이터 포털, 2023, 부동산 현황 분석
url : https://bigdata.changwon.go.kr/portal/realEstateAnalysis/realEstateAnalysis.do
6. 설립주체별 어린이집 현황 행정구역별 시군구, 연도별 국공립 어린이집 수 추이 한국여성정책연구원,2023,설립주체별 어린이집 현황(행정구역별), url : https://gsis.kwdi.re.kr/statHtml/stat Html.do?orgId=338&tblId=DT_2CA0211R
7. 정원대비현원데이터 from 경상남도 육아센터 ”어린이집검색”,경남육아종합지원센터,https://gyeongnam.childcare.go.kr/ccef/nursery/NurserySlPL.jsp 8.경상남도 창원시 어린이집
창원시 빅데이터 포털,2023,2023,경상남도 창원시_어린이집 현황
url : https://www.data.go.kr/data/3077750/fileData.do
9.경상남도 의료기관 현황
경남 빅데이터 허브 플랫폼,2019,경상남도_의료기관 현황, url : https://bigdata.gyeongnam.go.kr/index.gn? menuCd=DOM_000000114002001000&publicdatapk=3076329
10.경상남도 창원시 공장등록 현황
공공데이터 포털,2021,경상남도 창원시_공장등록현황, url : https://www.data.go.kr/data/3066436/fileData. do
11.경상남도 창원시 비산먼지발생사업정보
창원시 빅데이터 포털,2023, 경상남도_창원시_비산먼지발생사업정보, url : https://bigdata.changwon.go.kr/ portal/dataset/datasetView.do?seq=374
12.어린이보호구역데이터
동북아 중심도시 창원, 2022, 어린이보호구역 현황, url : https://www.changwon.go.kr/depart/contents.d o?mId=0712020000
13. 평균소득 한거 어떤걸 쓴거였더라(구별평균소득데이터)
동북아 중심도시 창원, 2023, 저소득 한부모 가족 등록현황, url : https://www.changwon.go.kr/depart/con tents.do?mId=0508070000
1.2022년 지역통계, 창원특례시.(2022,12월 26일).창원특례시, 「2022년 지역통계」결과 공표[보도자료]. url : htt ps://www.changwon.go.kr/cwportal/10310/10429/10432.web?gcode=1011&idx=751012&amode=view.
2. 이창언, 창원시 민간 어린이집 국공립 전환 추진, url : https://www.idomin.com/news/articleView.html? idxno=822269
3. 저출산고령사회위원회.(2020.12월15일).제 4차 저출산ᆞ고령화 사회 기본계획(2021~2025)[보도자료]. url : https://www.betterfuture.go.kr/front/notificationSpace/pressReleaseDetail.do?articleId=117
3) 제약조건 법령 근거자료 조사한거 출처 넣기
1. 주택건설기준등에 관한 규정 제9조의2 1항,
2. 어린이ᆞ노인및장애인보호구역의지정및관리에관한규칙 제3조 6항 3.영유아보육법 제 12조 1항
4) 참고문헌
- 김수경. (2020). 국내어린이집현황및수요도조사를바탕으로국공립어린이집개선방향에관한연구. 홍익대학교건축도시대학원.
- 김연철. (2021). GIS.AI 기반의국공립어린이집설치를위한선정평가방법. 국토지리학회지, 55(3), 291-300, 10.22905/kaopqj.2021.55.3.4
- 김진영. (2014).
- 민규량. (2019).
- 조경선, 김경윤.
22(22), 431-446.
- 조현미, 이창기.
25(4), 109-131.
- 최이수, 권경숙.
- 허은정, 채영란. 인문사회21, 11(3), 797-812.
GIS를활용한천안시국공립어린이집최적지분석에관한연구. 한국교원대학교. 국공립어린이집확충이영유아모의노동공급에미친영향. 경제학연구, 67(3), 111-163. (2022). COVID-19 영향에대한국공립어린이집원장의인식연구. 학습자중심교과교육연구,
(2021). 공보육화40% 달성과제의현실속민간어린이집원장들의이야기. 홀리스틱융합교육연구,
(2021). 국공립어린이집전환에대한어린이집원장의경험탐색. 유아교육연구, 41(2), 121-141. (2020). 민간・가정어린이집의국공립어린이집전환정책및위탁제도에대한보육교직원의인식.
그 외.
- 최상원,경남도 민간어린이집 사들여 ‘국공립 전환’ 추진, url : https://m.hani.co.kr/arti/area/yeongnam/ 1036094.html
- 조고운, 경남도 올해 100억 투입 ‘민간어린이집 국공립 전환’ 추진, url : http://www.knnews.co.kr/news/ articleView.php?idxno=1372848
- 보건복지부.(2019.06.20).국공립·직장어린이집 등 공공보육 이용 아동 증가 추세(’15년 21.4% →’18년 25.2 %),학부모 만족도도 공공보육 시설이 높아,표준보육비용은 1,017천 원(0세반)~396천 원(5세반)으로 계측[보도자 료]. url : https://www.mohw.go.kr/react/al/sal0301vw.jsp?PAR_MENU_ID=04&MENU_ID=0403&CONT_S EQ=349832
- 보건복지부.(2023.01.09).미래 도약을 위한 튼실한 복지국가, 보건복지부가 국민과 동행하겠습니다 [보도자료] url : https://www.mohw.go.kr/react/al/sal0301vw.jsp?PAR_MENU_ID=04&MENU_ID=0403&CONT_SEQ= 374518
- 보건복지부.(2023.12.13).보육,양육서비스의 질적 도약으로 모든 영유아의 행복한 성장을 뒷받침하겠습니다 [보도자료] url : https://www.mohw.go.kr/react/al/sal0301vw.jsp?PAR_MENU_ID=04&MENU_ID=0403&C ONT_SEQ=374066
'공모전 > 창원시 빅데이터 공모전' 카테고리의 다른 글
| 창원시의 인구 추이 예측을 통한 지방 소멸 문제 제고 (2) | 2023.12.05 |
|---|---|
| 창원시 안전지수 평가 (0) | 2023.12.05 |